微波天线|半波偶极子天线详解
半波偶极子天线是偶极子天线的特殊情况。 然而,重要的是足够的,它将有其自身的部分。需要注意的是“半波”一词意味着 这个偶极子天线的长度等于在工作频率的半波长。
为了确保我们的理解,让我们问一个问题。如果 天线在600 MHz的辐射,半波偶极子是什么尺寸?
其中波长 在600 MHz等于
= c / f = 0.5 米。因此,半波长 偶极子天线的长度为0.25米。
半波偶极子天线是你可能会想到,一个简单的半波长的导线 美联储在图1所示的中心:

图1。一个半波偶极子天线的电电流。
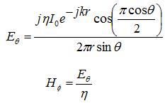
半波长偶极天线的输入阻抗是由寻=73+ j42.5欧姆。从半波偶极子天线的领域 :

一个半波偶极子天线的方向性是1.64(2.15分贝)。“ 半功率波束宽度为78度。
召回的阻抗是一个函数的偶极子的长度。这是在上一节讨论 偶极子天线。我们注意到,半波长的长度略有减少 天线可以成为 谐振。如果 偶极子的长度减少到0.48波长 (
), 天线的输入阻抗变得寻= 70欧姆(零功阻抗)。这 是一种可取的属性,因此往往是在实践中完成。辐射模式 仍然是相同的。
以上的长度是有效的,如果偶极子是非常薄的的。在实践中,往往与偶极子 胖或较厚的材料。这往往会增加带宽 天线。这是时 谐振长度减少的情况下,偶极子的厚度略有不同,但会 经常接近0.47波长 (
).


