屏蔽测试系统中的物理参数
1.表面转移阻抗ZT
一个短电缆(l<λ/10)屏蔽网上的表面转移阻抗ZT 定义为单位长度上电缆一端屏蔽层上的感应电压与电缆另一端屏蔽层上的干扰电流的比值,其单位为[mΩ/m]或以相对于1Ω的分贝dB 值表示,如图1 所示:


注:对于单个电器件(比如接插件或射频连接器)而言,该转移阻抗就是该电器件的表面转移阻抗。
2.2 屏蔽衰减
在同轴器件及以共模形式工作的带有屏蔽的对称器件上,输入功率Pfeed 与由在外部回路上的最大感应电压产生的最大散射功率Prad,max的对数比率被定义为屏蔽衰减as。由此,一段长电缆(l>λ/10)如同轴电缆的屏蔽衰减就被定义为电缆输入功率Pfeed 与最大散射功率Prad,max 的对数比率,如下公式所示:

2.3 耦合转移函数
被屏蔽器件如同轴电缆或同轴接插件的耦合转移函数Tn,f(n=近端, f=远端)定义了其屏蔽衰减as与转移阻抗ZT 的关系。
在低于截止频率fcn,f 的低频段,电缆的电长度较短,可以测出表面转移阻抗ZT。而在高于截止频率fcn, f 的电波传播频段,则将屏蔽衰减as 作为衡量电缆屏蔽效果的参数。对于电缆而言,截止频率fcn,f随被测电缆的长度变化。


图2:耦合转移函数Tn,f 的计算结果
2.4 截止频率
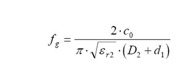
在测试套管中测试电磁屏蔽衰减的上截止频率fg 与横向电磁波(TEM 电磁波)的传播有关,公式如下:


其中d1 为被测电缆屏蔽层的外径,D2 为测试管的内径,εr2 为外部系统的合成介电常数。
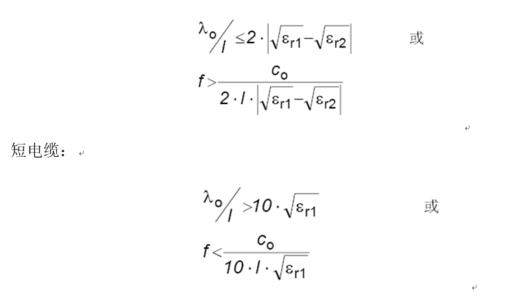
如果测试管的内直径为40 mm,被测电缆屏蔽层的外直径为3.5 mm,那么计算得出的上截止频率约为4.3 GHz。测试长电缆组件屏蔽衰减as 的下截止频率及测试短电缆转移阻抗ZT 的上截止频率的计算公式如下:
长电缆:



其中:
l 测试管中的有效耦合长度
λO 真空中的电磁波波长
εr1 被测件的介电常数
εr2 外部系统的合成介电常数
f 以HZ 为单位的频率
通过改变测试管的长度,可以在很大的范围内改变频率的大小。
其中,长电缆与短电缆的定义:
当被测电缆长度远小于其中传播的电磁波波长则称该电缆为(电气长度)短电缆,相对于低于截止频率的低频信号而言,一般:
l<λ/10
当被测电缆长度远大于其中传播的电磁波波长则称该电缆为(电气长度)长电缆,相对于高于截止频率的高频信号而言,一般:
l>λ/10


